Diode zener 1N4740 IN4740 1W 10V (gói 10 con)
3.000₫
Còn hàng
Mô tả :
3.000 đ/gói 10 con
1N4740 IN4740 1W 10V
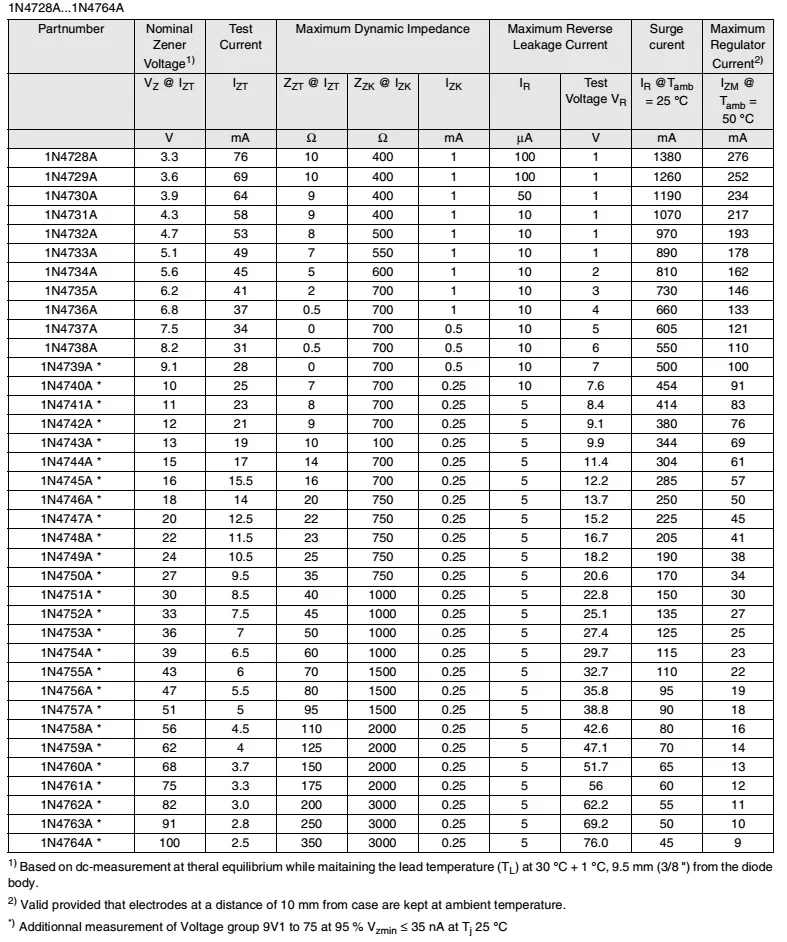
Bảng tra cứu mã và điện áp ổn định của diode zener từ 3.3V – 100V

IC ĐÂY RỒI THÔNG BÁO LỊCH NGHỈ LỄ TẾT ÂM LỊCH 2026
- 📅 Thời gian nghỉ lễ: Bắt đầu thứ 5 ngày 12/2/2026 (25/12 âm lịch) đến hết ngày thứ 3 (23/2/2026)
- 📅 Thời gian làm việc trở lại: Thứ 4 ngày 24/2/2026 (08/01 âm lịch)
- Đơn hàng online quý khách đặt hàng bình thường, IC ĐÂY RỒI sẽ xử lý ngay sau khi làm việc trở lại
IC ĐÂY RỒI xin chân thành cảm ơn Quý Khách!
Chúc quý khách năm mới an khang thịnh vượng
3.000₫
3.000 đ/gói 10 con
1N4740 IN4740 1W 10V
Bảng tra cứu mã và điện áp ổn định của diode zener từ 3.3V – 100V
